-convolution
: LTI(선형 시불변, Linear Time Invariant) 시스템에서 임의의 입력을 해당 LTI 시스템에 가했을 때 출력되는 신호를 구할 때 씀. 형태는 (*) 이다.
time domain에 관해 표현하면 아래와 같음.
y(t) = x(t)*h(t)
이 때 h(t)는 Impulse 신호에 대한 응답값, 즉 impulse response이다. 그래서 convolution이란, 임펄스 신호에 대한 응답값을 알면, 입력 신호를 넣었을 때의 출력값을 알 수 있다는 의미이다.
수학적으로 y(t)는 합성곱 꼴이므로, x(t)*h(t)를 겹치는 구간에 따라 case를 나누어 적분한 뒤에, 적분값을 그래프로 나타내면 그것이 convolution graph이다.
+) Impulse response
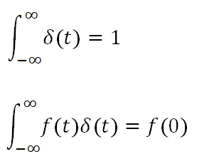
임펄스 신호 - 특정 지점에 도달하면 발산하는 신호. 적분하면 항상 1인데, 따라서 가로 길이가 짧으면 짧을수록 세로축이 무한히 발산하게 된다.

그래서 아래와 같은 수식으로 정리할 수 있다.

이런 식으로 time domain에서 움직이는 함수꼴이고, y axis = amplitude, x axis = time 으로 나타낸다. (그래서 변수를 t로 다룬다.)
컨볼루션 (합성곱)을 구할 때는 타우축에 관한 적분식으로 나타낸 뒤에 변수로 t 관련 변수를 넣어 결국에는 t로 정리하는 꼴이 된다.
주의할 점은, 컨볼루션은 두 함수가 겹치는 구간을 나누어 생각해야 하기 때문에 케이스를 잘 나누어야 한다는 것이다.
'Electrical Engineering' 카테고리의 다른 글
| 삼각함수 적분공식 (0) | 2023.04.09 |
|---|---|
| 푸리에 변환 (0) | 2023.04.09 |
| 신호및시스템 - Convolution, LTIC system (0) | 2023.04.02 |
| 전압과 전류, 전기와 자기 (0) | 2023.03.26 |
| 신호및시스템) 삼각함수 적분법 정리, 라플라스 변환 (0) | 2023.03.19 |