
'Electrical Engineering' 카테고리의 다른 글
| 신호및시스템 ) convolution (0) | 2023.04.15 |
|---|---|
| 푸리에 변환 (0) | 2023.04.09 |
| 신호및시스템 - Convolution, LTIC system (0) | 2023.04.02 |
| 전압과 전류, 전기와 자기 (0) | 2023.03.26 |
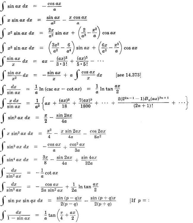
| 신호및시스템) 삼각함수 적분법 정리, 라플라스 변환 (0) | 2023.03.19 |

| 신호및시스템 ) convolution (0) | 2023.04.15 |
|---|---|
| 푸리에 변환 (0) | 2023.04.09 |
| 신호및시스템 - Convolution, LTIC system (0) | 2023.04.02 |
| 전압과 전류, 전기와 자기 (0) | 2023.03.26 |
| 신호및시스템) 삼각함수 적분법 정리, 라플라스 변환 (0) | 2023.03.19 |